
पुणे महानगरपालिका निवडणुकीसाठी मंगळवारी प्रभागनिहाय आरक्षणाची सोडत जाहीर करण्यात आली. महापालिकेचे आयुक्त नवल किशोर राम यांच्या उपस्थितीत ही सोडत पार पडली.
या सोडतीत पुणे महापालिकेच्या 41 प्रभागांतील 165 सदस्यपदांसाठी आरक्षण निश्चित करण्यात आले आहे. यामध्ये 83 जागा महिलांसाठी तर 82 जागा पुरुषांसाठी राखीव ठेवण्यात आल्या आहेत.
महिलांसाठी राखीव जागांपैकी —
महिला खुला प्रवर्ग : 48 जागा
ओबीसी महिला : 23 जागा
अनुसूचित जाती (SC) महिला : 11 जागा
अनुसूचित जमाती (ST) महिला : 1 जागा
तर पुरुषांसाठी राखीव जागांपैकी —
सर्वसाधारण प्रवर्ग : 48 जागा
ओबीसी प्रवर्ग : 22 जागा
एससी पुरुष : 11 जागा
एसटी पुरुष : 1 जागा
या आरक्षण सोडतीनंतर आता निवडणुकीच्या तयारीला वेग येणार असून, पक्षांमध्ये उमेदवार निवडीची चुरस वाढण्याची शक्यता आहे.

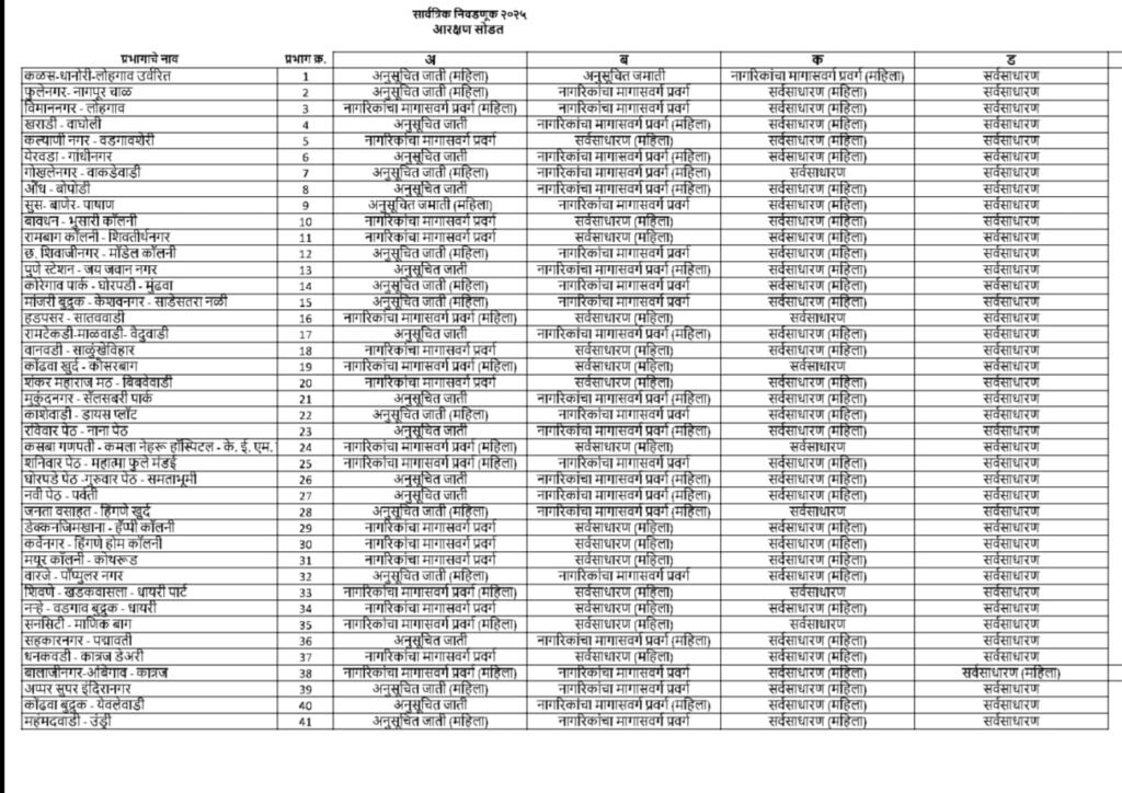
प्रभाग क्रमांक १ कळस धानोरी
अ अनुसूचित जाती महिला
ब अनुसूचित जमाती
क OBC महिला
ड सर्वसाधारण
प्रभाग क्रमांक २ फुलेनगर नागपूर चाळ
अ अनुसूचित जाती महिला
ब OBC सर्वसाधारण
क सर्वसाधारण महिला
ड सर्वसाधारण
प्रभाग क्रमांक ३ विमान नगर लोहगाव
अ OBC महिला
ब OBC सर्वसाधारण
क सर्वसाधारण महिला
ड सर्वसाधारण
प्रभाग क्रमांक ४ खराडी वाघोली
अ अनुसूचित जाती
ब OBC महिला
क सर्वसाधारण महिला
ड सर्वसाधारण
प्रभाग क्रमांक ५ कल्याणी नगर वडगाव शेरी
अ OBC सर्वसाधारण
ब सर्वसाधारण महिला
क सर्वसाधारण महिला
ड सर्वसाधारण
प्रभाग क्रमांक ६ येरवडा गांधीनगर
अ अनुसूचित जाती
ब OBC महिला
क सर्वसाधारण महिला
ड सर्वसाधारण
प्रभाग क्रमांक ७ गोखले नगर वाकडेवाडी
अ अनुसूचित जाती महिला
ब OBC महिला
क सर्वसाधारण
ड सर्वसाधारण
प्रभाग क्रमांक ८ औंध बोपोडी
अ अनुसूचित जाती
ब OBC महिला
क सर्वसाधारण महिला
ड सर्वसाधारण
प्रभाग क्रमांक ९ सुस बाणेर पाषाण
अ अनुसूचित जमाती महिला
ब OBC सर्वसाधारण
क सर्वसाधारण महिला
ड सर्वसाधारण
प्रभाग क्रमांक १० बावधन भुसारी कॉलनी
अ OBC सर्वसाधारण
ब सर्वसाधारण महिला
क सर्वसाधारण महिला
ड सर्वसाधारण
प्रभाग क्रमांक ११ रामबाग कॉलनी शिवतीर्थ नगर
अ OBC सर्वसाधारण
ब सर्वसाधारण महिला
क सर्वसाधारण महिला
ड सर्वसाधारण
प्रभाग क्रमांक १२ शिवाजीनगर मॉडेल कॉलनी
अ अनुसूचित जाती महिला
ब OBC सर्वसाधारण
क सर्वसाधारण महिला
ड सर्वसाधारण
प्रभाग क्रमांक १३ पुणे स्टेशन जय जवान नगर
अ अनुसूचित जाती
ब OBC महिला
क सर्वसाधारण महिला
ड सर्वसाधारण
प्रभाग क्रमांक १४ कोरेगाव पार्क घोरपडी मुंढवा
अ अनुसूचित जाती महिला
ब OBC सर्वसाधारण
क सर्वसाधारण महिला
ड सर्वसाधारण
प्रभाग क्रमांक १५ मांजरी बुद्रुक केशवनगर
अ अनुसूचित जाती महिला
ब OBC सर्वसाधारण
क सर्वसाधारण महिला
ड सर्वसाधारण
प्रभाग क्रमांक १६ हडपसर सातववाडी
अ OBC महिला
ब सर्वसाधारण महिला
क सर्वसाधारण
ड सर्वसाधारण
१७. प्रभाग क्रमांक १७ रामटेकडी माळवाडी वैदुवाडी
अ अनुसूचित जाती
ब OBC महिला
क सर्वसाधारण महिला
ड सर्वसाधारण
प्रभाग क्रमांक १८ वानवडी साळुंखे विहार
अ OBC सर्वसाधारण
ब सर्वसाधारण महिला
क सर्वसाधारण महिला
ड सर्वसाधारण
प्रभाग क्रमांक १९ कोंढवा खुर्द कौसर बाग
अ OBC महिला
ब सर्वसाधारण महिला
क सर्वसाधारण
ड सर्वसाधारण
प्रभाग क्रमांक २० शंकर महाराज मठ बिबवेवाडी
अ OBC सर्वसाधारण
ब सर्वसाधारण महिला
क सर्वसाधारण महिला
ड सर्वसाधारण
प्रभाग क्रमांक २१ मुकुंद नगर सॅलिसबरी पार्क
अ अनुसूचित जाती
ब OBC महिला
क सर्वसाधारण महिला
ड सर्वसाधारण
प्रभाग क्रमांक २२ काशेवाडी डायस प्लाॅट
अ अनुसूचित जाती महिला
ब OBC सर्वसाधारण
क सर्वसाधारण महिला
ड सर्वसाधारण
प्रभाग क्रमांक २३ रविवार पेठ नाना पेठ
अ अनुसूचित जाती
ब OBC महिला
क सर्वसाधारण महिला
ड सर्वसाधारण
प्रभाग क्रमांक २४ कसबा गणपती कमला नेहरू रुग्णालय केएमइ रुग्णालय
अ OBC महिला
ब सर्वसाधारण महिला
क सर्वसाधारण
ड सर्वसाधारण
प्रभाग क्रमांक २५ शनिवार पेठ महात्मा फुले मंडई
अ OBC महिला
ब OBC सर्वसाधारण
क सर्वसाधारण महिला
ड सर्वसाधारण
प्रभाग क्रमांक २६ घोरपडे पेठ गुरूवार पेठ समताभूमी
अ अनुसूचित जाती
ब OBC महिला
क सर्वसाधारण महिला
ड सर्वसाधारण
प्रभाग क्रमांक २७ नवी पेठ पर्वती
अ अनुसूचित जाती
ब OBC महिला
क सर्वसाधारण महिला
ड सर्वसाधारण
२८ जनता वसाहत हिंगणे खुर्द
अ अनुसूचित जाती महिला
ब OBC महिला
क सर्वसाधारण
ड सर्वसाधारण
प्रभाग क्रमांक २९ डेक्कन जिमखाना हॅपी काॅलनी
अ OBC सर्वसाधारण
ब सर्वसाधारण महिला
क सर्वसाधारण महिला
ड सर्वसाधारण
प्रभाग क्रमांक ३० कर्वेनगर हिंगणे होन कॉलनी
अ OBC
ब सर्वसाधारण महिला
क सर्वसाधारण महिला
ड सर्वसाधारण
प्रभाग क्रमांक ३१ मयूर काॅलनी कोथरूड
अ OBC सर्वसाधारण
ब सर्वसाधारण महिला
क सर्वसाधारण महिला
ड सर्वसाधारण
प्रभाग क्रमांक ३२ वारजे पाॅप्युलर नगर
अ अनुसूचित जाती महिला
ब OBC सर्वसाधारण
क सर्वसाधारण महिला
ड सर्वसाधारण
प्रभाग क्रमांक ३३ शिवणे खडकवासला धायरी पार्ट
अ OBC महिला
ब सर्वसाधारण महिला
क सर्वसाधारण
ड सर्वसाधारण
प्रभाग क्रमांक ३४ नर्हे वडगाव बुद्रूक धायरी
अ OBC सर्वसाधारण
ब सर्वसाधारण महिला
क सर्वसाधारण महिला
ड सर्वसाधारण
प्रभाग क्रमांक ३५ सनसिटी माणिकबाग
अ OBC महिला
ब सर्वसाधारण महिला
क सर्वसाधारण
ड सर्वसाधारण
प्रभाग क्रमांक ३६ सहकारनगर पद्मावती
अ अनुसूचित जाती
ब OBC महिला
क सर्वसाधारण महिला
ड सर्वसाधारण
प्रभाग क्रमांक १५ मांजरी बुद्रुक केशवनगर
अ अनुसूचित जाती महिला
ब OBC सर्वसाधारण
क सर्वसाधारण महिला
ड सर्वसाधारण
प्रभाग क्रमांक १६ हडपसर सातववाडी
अ OBC महिला
ब सर्वसाधारण महिला
क सर्वसाधारण
ड सर्वसाधारण
१७. प्रभाग क्रमांक १७ रामटेकडी माळवाडी वैदुवाडी
अ अनुसूचित जाती
ब OBC महिला
क सर्वसाधारण महिला
ड सर्वसाधारण
प्रभाग क्रमांक १८ वानवडी साळुंखे विहार
अ OBC सर्वसाधारण
ब सर्वसाधारण महिला
क सर्वसाधारण महिला
ड सर्वसाधारण
प्रभाग क्रमांक १९ कोंढवा खुर्द कौसर बाग
अ OBC महिला
ब सर्वसाधारण महिला
क सर्वसाधारण
ड सर्वसाधारण
प्रभाग क्रमांक २० शंकर महाराज मठ बिबवेवाडी
अ OBC सर्वसाधारण
ब सर्वसाधारण महिला
क सर्वसाधारण महिला
ड सर्वसाधारण
प्रभाग क्रमांक २१ मुकुंद नगर सॅलिसबरी पार्क
अ अनुसूचित जाती
ब OBC महिला
क सर्वसाधारण महिला
ड सर्वसाधारण
प्रभाग क्रमांक २२ काशेवाडी डायस प्लाॅट
अ अनुसूचित जाती महिला
ब OBC सर्वसाधारण
क सर्वसाधारण महिला
ड सर्वसाधारण
प्रभाग क्रमांक २३ रविवार पेठ नाना पेठ
अ अनुसूचित जाती
ब OBC महिला
क सर्वसाधारण महिला
ड सर्वसाधारण
प्रभाग क्रमांक २४ कसबा गणपती कमला नेहरू रुग्णालय केएमइ रुग्णालय
अ OBC महिला
ब सर्वसाधारण महिला
क सर्वसाधारण
ड सर्वसाधारण
प्रभाग क्रमांक २५ शनिवार पेठ महात्मा फुले मंडई
अ OBC महिला
ब OBC सर्वसाधारण
क सर्वसाधारण महिला
ड सर्वसाधारण
प्रभाग क्रमांक २६ घोरपडे पेठ गुरूवार पेठ समताभूमी
अ अनुसूचित जाती
ब OBC महिला
क सर्वसाधारण महिला
ड सर्वसाधारण
प्रभाग क्रमांक २७ नवी पेठ पर्वती
अ अनुसूचित जाती
ब OBC महिला
क सर्वसाधारण महिला
ड सर्वसाधारण
२८ जनता वसाहत हिंगणे खुर्द
अ अनुसूचित जाती महिला
ब OBC महिला
क सर्वसाधारण
ड सर्वसाधारण
प्रभाग क्रमांक २९ डेक्कन जिमखाना हॅपी काॅलनी
अ OBC सर्वसाधारण
ब सर्वसाधारण महिला
क सर्वसाधारण महिला
ड सर्वसाधारण
प्रभाग क्रमांक ३० कर्वेनगर हिंगणे होन कॉलनी
अ OBC
ब सर्वसाधारण महिला
क सर्वसाधारण महिला
ड सर्वसाधारण
प्रभाग क्रमांक ३१ मयूर काॅलनी कोथरूड
अ OBC सर्वसाधारण
ब सर्वसाधारण महिला
क सर्वसाधारण महिला
ड सर्वसाधारण
प्रभाग क्रमांक ३२ वारजे पाॅप्युलर नगर
अ अनुसूचित जाती महिला
ब OBC सर्वसाधारण
क सर्वसाधारण महिला
ड सर्वसाधारण
प्रभाग क्रमांक ३३ शिवणे खडकवासला धायरी पार्ट
अ OBC महिला
ब सर्वसाधारण महिला
क सर्वसाधारण
ड सर्वसाधारण
प्रभाग क्रमांक ३४ नर्हे वडगाव बुद्रूक धायरी
अ OBC सर्वसाधारण
ब सर्वसाधारण महिला
क सर्वसाधारण महिला
ड सर्वसाधारण
प्रभाग क्रमांक ३५ सनसिटी माणिकबाग
अ OBC महिला
ब सर्वसाधारण महिला
क सर्वसाधारण
ड सर्वसाधारण
प्रभाग क्रमांक ३६ सहकारनगर पद्मावती
अ अनुसूचित जाती
ब OBC महिला
क सर्वसाधारण महिला
ड सर्वसाधारण